• HOME
  • 학과소식
  • 학과공지
인쇄하기

학과공지

제목 2022년 2월 졸업예정자명단 공지 등록일 2021-10-13 조회수 321
첨부파일 등록된 파일이 없습니다.

                                                                                                            2022년 2월 졸업예정자명단 공지


2021학년도 전기(20222) 졸업예정자를 아래와 같이 공지합니다.

 

1. 졸업요건

아래 세가지 요건을 모두 충족해야 졸업이 가능하므로,

졸업을 희망하는 졸업예정자는 졸업요건이 모두 충족될 수 있도록 각별히 유념해 주시기 바랍니다.

 

. 이수구분별 졸업학점을 충족하고 총 140학점 이상 취득

. 전체학기평균성적 2.0 이상 (조기졸업은 3.0 이상)

. 졸업평가(졸업시험, 졸업논문, 졸업작품 등) 합격 (복수전공자는 복수전공의 졸업평가도 합격해야 함)

 

2. 졸업까지 남은 학점 확인방법 : [등교하기] - [학사행정] - [성적] - [전체학기성적조회]

 

3. 유의사항

. 졸업예정자는 학점미취득(F학점), 성적미달, 졸업평가 불합격, 휴학 등 학적변동, 계절학기 수강, 복수전공신청/포기, 졸업유예신청 등으로 변경될 수 있습니다.

. 조기졸업예정자 중 성적이 3.0 미만으로 졸업사정에서 탈락하면 다음 학기에 최소 1과목을 수강해야 합니다.

. 졸업식 행사는 2022226()에 시행합니다. (관련내용은 추후 공지할 예정이며, 코로나 19 등에 따른 변동이 있을 수 있음)

 

4. 졸업관련 문의 : 070-5227-0000(학과내선번호) 또는 1588-2854

 

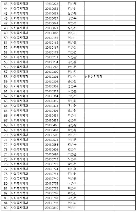
5. 20222월 졸업예정자명단(졸업이 확정된 것이 절대 아님)














  • 트위터
  • 블로그
  • 유투브
주소복사
목록
이전글 사회복지현장실습 실습기간 연장 안내 2021-10-13
다음글 2021-2학기 사회복지현장실습 중간세미나 일정 안내 2021-10-14